2012年理综新课标卷35.[物理—选修3-5](1)(6分)氘核和氚核可发生热核聚变而释放巨大的能量,该反应方程为:,式中x是某种粒子。已知:、、和粒子x的质量分别为2.0141u、3.0161u、4.0026u和1.0087u;1u=931.5MeV/c2,c是真空中的光速。由上述反应方程和数据可知,粒子x是__________,该反应释放出的能量为_________ MeV(结果保留3位有效数字)
的有关信息介绍如下:[答案],
(6分)氘核和氚核可发生热核聚变而释放巨大的能量,该反应方程为:,式中x是某种粒子。已知:、、和粒子x的质量分别为2.0141u、3.0161u、4.0026u和1.0087u;1u=931.5MeV/c2,c是真空中的光速。由上述反应方程和数据可知,粒子x是__________,该反应释放出的能量为_________ MeV(结果保留3位有效数字)](/upload/sm/2025/1203/a3a85318.jpg)
[答案],
(6分)氘核和氚核可发生热核聚变而释放巨大的能量,该反应方程为:,式中x是某种粒子。已知:、、和粒子x的质量分别为2.0141u、3.0161u、4.0026u和1.0087u;1u=931.5MeV/c2,c是真空中的光速。由上述反应方程和数据可知,粒子x是__________,该反应释放出的能量为_________ MeV(结果保留3位有效数字)](/upload/sm/2025/1203/96316497.jpg)
解析: (i)(1)设b球的质量为m,a球的质量为M,则对b球研究,由动能定理得:
(6分)氘核和氚核可发生热核聚变而释放巨大的能量,该反应方程为:,式中x是某种粒子。已知:、、和粒子x的质量分别为2.0141u、3.0161u、4.0026u和1.0087u;1u=931.5MeV/c2,c是真空中的光速。由上述反应方程和数据可知,粒子x是__________,该反应释放出的能量为_________ MeV(结果保留3位有效数字)](/upload/sm/2025/1203/07ad14d9.jpg)
,
(6分)氘核和氚核可发生热核聚变而释放巨大的能量,该反应方程为:,式中x是某种粒子。已知:、、和粒子x的质量分别为2.0141u、3.0161u、4.0026u和1.0087u;1u=931.5MeV/c2,c是真空中的光速。由上述反应方程和数据可知,粒子x是__________,该反应释放出的能量为_________ MeV(结果保留3位有效数字)](/upload/sm/2025/1203/f09c0c9d.jpg)
a、b碰撞由动量守恒定律得:
(6分)氘核和氚核可发生热核聚变而释放巨大的能量,该反应方程为:,式中x是某种粒子。已知:、、和粒子x的质量分别为2.0141u、3.0161u、4.0026u和1.0087u;1u=931.5MeV/c2,c是真空中的光速。由上述反应方程和数据可知,粒子x是__________,该反应释放出的能量为_________ MeV(结果保留3位有效数字)](/upload/sm/2025/1203/bf40859f.jpg)
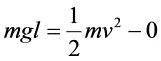
a、b整体向左运动,由动能定理得:
(6分)氘核和氚核可发生热核聚变而释放巨大的能量,该反应方程为:,式中x是某种粒子。已知:、、和粒子x的质量分别为2.0141u、3.0161u、4.0026u和1.0087u;1u=931.5MeV/c2,c是真空中的光速。由上述反应方程和数据可知,粒子x是__________,该反应释放出的能量为_________ MeV(结果保留3位有效数字)](/upload/sm/2025/1203/fe972790.jpg)
(6分)氘核和氚核可发生热核聚变而释放巨大的能量,该反应方程为:,式中x是某种粒子。已知:、、和粒子x的质量分别为2.0141u、3.0161u、4.0026u和1.0087u;1u=931.5MeV/c2,c是真空中的光速。由上述反应方程和数据可知,粒子x是__________,该反应释放出的能量为_________ MeV(结果保留3位有效数字)](/upload/sm/2025/1203/5cb7cb82.jpg)
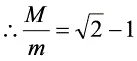
联立解得:,
(6分)氘核和氚核可发生热核聚变而释放巨大的能量,该反应方程为:,式中x是某种粒子。已知:、、和粒子x的质量分别为2.0141u、3.0161u、4.0026u和1.0087u;1u=931.5MeV/c2,c是真空中的光速。由上述反应方程和数据可知,粒子x是__________,该反应释放出的能量为_________ MeV(结果保留3位有效数字)](/upload/sm/2025/1203/6865b9df.jpg)
联立解得:,
(6分)氘核和氚核可发生热核聚变而释放巨大的能量,该反应方程为:,式中x是某种粒子。已知:、、和粒子x的质量分别为2.0141u、3.0161u、4.0026u和1.0087u;1u=931.5MeV/c2,c是真空中的光速。由上述反应方程和数据可知,粒子x是__________,该反应释放出的能量为_________ MeV(结果保留3位有效数字)](/upload/sm/2025/1203/4de486b4.jpg)
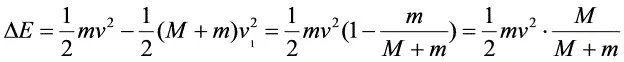
(ii)(2) a、b碰撞过程中机械能的损失为:
(6分)氘核和氚核可发生热核聚变而释放巨大的能量,该反应方程为:,式中x是某种粒子。已知:、、和粒子x的质量分别为2.0141u、3.0161u、4.0026u和1.0087u;1u=931.5MeV/c2,c是真空中的光速。由上述反应方程和数据可知,粒子x是__________,该反应释放出的能量为_________ MeV(结果保留3位有效数字)](/upload/sm/2025/1203/3acd48ad.jpg)
(6分)氘核和氚核可发生热核聚变而释放巨大的能量,该反应方程为:,式中x是某种粒子。已知:、、和粒子x的质量分别为2.0141u、3.0161u、4.0026u和1.0087u;1u=931.5MeV/c2,c是真空中的光速。由上述反应方程和数据可知,粒子x是__________,该反应释放出的能量为_________ MeV(结果保留3位有效数字)](/upload/sm/2025/1203/89283201.jpg)



