各高校录取分数线已经陆续公布,所以2019年中国大学录取分数排行榜是怎么样的?
的有关信息介绍如下:高考录取正在紧张有序的进行着,高考提前批的录取工作已经结束。目前大部分省份高考一批次开始录取,前天广东、广西两省已率先公布了各高校本科一批录取分数线,河南省昨天也开始本科一批的录取工作,预计七月下旬有相当一部分考生就会收到录取通知书。因此,考生尚需耐着性子,再等一段时间。
目前虽说部分省份的录取分数线已经公布,但是大部分省份还没有出炉,所以2019年的中国大学录取分数排行榜不可能公布于众。录取分数线排名如何,只有等录取结束,一切才能见分晓。
下面我们来看看2008年到2017年十年间,大学录取分数线总排名,或许可以作为参考!

在这份榜单中,清华、北大毫无悬念地占据了第一、第二的宝座。其实,在很多省份,这两所高校的录取分数线也就一分之差,可以说是伯仲之间。
中国科学院大学虽然是双非院校,但是录取分数线却高居第三位?原因何在,因为中国科学院大学实力强大,学校本身是研究生院,2014年国科大开始招收本科生,而且只是面对十几个省份,招收400名左右本科生,录取分数线也是杠杠滴! 复旦、上交、中科大、浙江大学、南京大学作为华东五校,实力强大,每年在各省的录取分数线也是位居全国高校前列。 位居前十的还有中国人民大学和北航。中国人民大学是人文社科类最好的大学,倍受文科生的青睐;北航为理工类大学,其专业特色无与伦比。
录取分数线位居11——20之间的,除了“两财一贸”、北外是211大学,其他均为985大学。“两财一贸”作为财经类特色行业高校,因其特殊的地理位置和热门专业,倍受考生青睐,录取分数线也是居高不下。
北京外国语大学是语言类大学,学科实力强大。
录取分数线位居21——30之间的211大学有上海外国语大学、北邮、中国政法大学,其他都是985大学。
位于31名的上海纽约大学,可能出乎人们的意料。上海纽约大学是中美合作国际化的综合性大学,面向全球招收本科生、硕士生和博士生,录取分数线也比较高。
录取分数线位居前五十名之内的双非院校还有上海海关学院。因其特殊的性质,较高的就业率而倍受考生青睐。
下面我们再看看其他院校录取分数线排名:






怎么样?对这份榜单你认可吗?前面已经说了,排名仅供参考而已,具体情况如何,还要以各高校的录取为准。高考录取进行时,祝大家金榜题名!
感谢邀请。高考录取工作进行着,有的学校录取通知书开始发放,一些高校的录取分数线也公之于众,很多考生到这个时候也基本选好了自己的大学,最近就公布了2019年版本的中国大学录取分数线,当然并不是今年的高校公布结果,只是根据往年的录取分数线综合起来统计的结果,即使是这样,也很有参考价值,因为一些学校的情况差不多就是这样,不会变化太大。适合下一届考生去参考,为自己来年的高考做好准备。
2019版本大学录取分数排行






排名前三的没有任何意外,就是清华北大,国科大,这也是综合实力排名前三的高校,可以说都是学霸。总的来看,财经高校,语言类高校,综合类院校最受学生欢迎,从而这些学校的录取分数线就普遍偏高,竞争激烈。相反,农林类高校,师范类原因就没有那么受追捧,可能也跟国家政策,社会发展相关。
当然,有些学校因为一些原因并没有参与排名,大家也不用奇怪,可能参与计算的数据太少。而这些学校大都是过去十年进行总结出来的,还是比较有参考价值。
我是燕园博雅教育,我来回答。
目前,今年高考的录取工作正在紧张进行,从目前能得到的数据看,只是部分高校提前批的录取线情况已经公布,并不能获得完整的相关数据,所以,暂时还不能获得今年全国高校的高考录取分数排行情况。
不过,依照历史数据,特别是2018年的数据,并结合当前的某些可预计的变化趋势,是可以大致推导出部分重点高校的高考录取线排行榜的。当然,这种推导和预测,只能是与实际情况大致相近,具有一定参考意义。
根据2018年内地高校生源质量排行榜来看,有如下数据。



以上数据为2018年全国高校生源质量排行榜的前60名,这是综合文理科录取线并进行加权处理的结果,具有较高的可信度。
值得一提的有以下3点:
1、中国科学院大学因为本科生招生人数很少,中科大因为理科很强而文科比重很低,中国人民大学因为文科很强而理科占比较低,因而在排行榜上显得突出,加权平均的结果是比较“占便宜”。
2、在魔都的复旦和交大实际录取线已经与其他大学拉开了一定差距,其录取线在2018年明显提升,直逼清北。
3、以两财一贸及西南财经大学为代表的“财经热”在2018年出现降温迹象,其录取线相对于之前的年份有所下降。
按照今年的情况及发展趋势来看,有如下可以预计的结论:
1、由于对于一流大学的争夺愈发激烈,今年以华东五校及中国人民大学为代表的一流大学将进一步获得追捧,并整体性地缩短与北大清华的差距。
2、复旦、交大会进一步受到追捧,延续其直逼清北的趋势,并与其他一流大学比如浙江大学、南京大学、中科大、中国人民大学等保持差距。

3、由于经济转型和升级的需要,电子信息计算机通讯等专业会持续发热,以两电一邮为代表的电子信息通讯类院校,将进一步获得考生追捧,其相关院校的高考录取线排名将在2018年的基础上进一步前移。
4、以两财一贸为代表的财经院校会因为“财经热”的持续降温而录取线有再次小幅度下降的可能,其相关院校的录取线排名也将很可能小幅度下降,不过,尽管如此,财经院校的高考录取线排名依然会很高。
5、拥有著名医学院的综合性大学,比如四川大学、华中科技大学、中南大学等等,其医学将进一步受到考生追捧,出现带动相关院校录取线整体性走高的趋势。

所以,综合来看,2019年的高考录取线排行榜在2018年的基础上,会有一些变化,复旦、交大极可能进入top4;上述的第3、5类院校极有可能走高,第4类的财经院校可能有小幅度降低。
今年的高考录取线排行榜到底会怎样?请让我们拭目以待。
现在很多省份的录取工作还正在进行,出来的只是少部分省份。我们就以这几个省份的情况来总体看下。
第一、录取分数排行会受到这几方面的影响:
1、学校文理的强势程度。
大家也都知道术业有专攻,即使现在很多大学叫综合类大学,但是有的学校人文社科较强,有的学校理工类很厉害。所以文科生和理科生的投档喜好也是不一样的。
2、地理位置。
现在人们特越来越注重地理位置,所以北京和上海的学校分数也奇高。
3、学校在当地的知名度和偏好。
各个省份对于大学的偏好不同,最主要的原因是在当地的知名度和认可度。可能在这个省份,这个学校录取分数更高一些,比如广西爱名校,南开大学、武汉大学录取分数更高。在那个省份另一个更高一点,比如广东重实用,上海财经大学的分数更高。因此排名前十的学校位次会有变化,但是学校还是那几个。为什么这样?因为人们已经形成了固定习惯,也很少有人去打破它。

第二、排行榜基本如下:
并列第一名:北京大学和清华大学
既生瑜何生亮,谁都想当老大
第三名:上海交通大学
就业前景很好
第四名:复旦大学
名气与实力并存
第五名:浙江大学
近几年迅速崛起,但是前阵子因为论文造假,也热搜了一波
第六名:中国科学技术大学
科研最好的学校,没有之一
第七名:中国人民大学(如果是文科可提高到第5)
培养金融类人才的摇篮
第八名:南京大学
瘦死的骆驼比马大,期望东山再起的一天
后面两名会有点争议,如果是理科就是北航和同济大学入选;如果是文科,各个省份差距太大了,不好说。

第三、广东省文理录取排名前十的院校
文科排名前十的学校分别是:
清华大学、北京大学、上海交通大学(因为上海交大只招了1个人,位次是40)、中国人民大学、复旦大学、南京大学198、浙江大学212、北京师范大学(最低位次316)、上海财经大学581、同济大学586。
理科排名前十的学校分别是:
清华大学、北京大学、上海交通大学、复旦大学125、复旦大学医学院255、上海交通大学医学院287、浙江大学387、中国科学技术大学484、北京大学医学院517、中国人民大学680、南京大学692、北京航空航天大学1233、同济大学1572(去除3个医学院,正好十个)
北京大学今年在广东省的招生有点受挫啊,文理都被清华大学抢先了。


第四、广西省录取情况
广西呢,喜欢的和广东明显是不同的,尤其是文科差距巨大,比如中山大学、南开大学均有上榜,浙江大学的认可度也很高,所以浙江大学的医学院竟然比北京大学的医学院分数都高,这有点不可思议。
毕竟北大、复旦、交大和协和并称为医学界的四大金刚。



现在2019高考结束已经一段时间,各个高校录取工作也是在紧张有序的进行,家长和考生也是在为填报志愿绞尽脑汁。
各个高校录取分数线也是陆续公布,所以题主才会想知道今年我国所有大学录取分数线排行榜是怎么样的。个人理解是题主本意想知道具体今年我国各个大学的录取最高分的排行,但是由于现在录取工作还没有结束,所以这时不能给出答案。
但是近期华东师范大学社会调查中心公布了一个2019版我国大学录取分数排行榜。
这个排行榜意义是在于,
第一,解决了考生在填报志愿时遇到的各个大学在各个省份录取分数的可比性问题
第二,去除一些大学自身出具的录取分数线具有的主观性。
第三,不仅能够反映出各个大学在录取分数上的排名,而且还能帮助考生真实了解各个高校录取分数的差距大小。
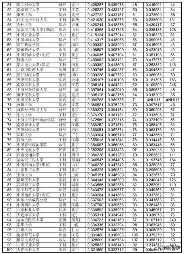
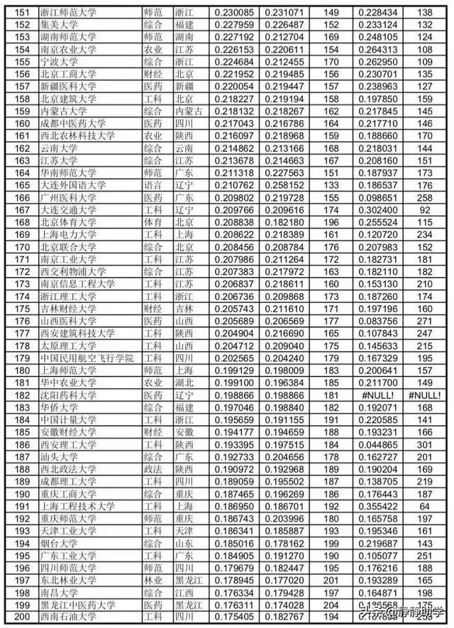
下面就给出这个排行榜前100具体数据,希望能从另一个角度解决题主的疑问。


最后,北京市教育考试院在今天刚刚公布2019年北京市高招本科提前批录取最低分数,希望也是能够解答题主的疑问。
大家关心的几所大学录取分数线:北京大学文史类659分,理工类677分。
对外经济贸易大学文史类最低分630分,理工类649分。
北京语言大学文史类611分,理工类620分。
中央财经大学文史类621分。
北京航空航天大学提前批次632分,普通批次最低录取分数为理工类661分,文史类633分。

ps :1,以上不含艺术,体育专业录取情况
2,北京外国语大学、深圳北理莫斯科大学和昆山杜克大学采用综合评价方式录取,所公布分数为综合成绩录取最低分
3,新疆警察学院为公务员考试成绩

注解同上图。





其实2019年各高校的录取分数线还没完全公布,只是一些高校提前批的录取分数线公布,这个分数代表性不强,因为各高校所投放的专业不同,有些投放的是王牌专业,有些投放的是冷门专业。比如浙江大学投放的农业类专业,使得浙江大学的录取分数线大幅走低,但这不表浙江大学一般专业的录取分数线。而各大学一批录取分数线只有广东、广西公布,其他省还在继续录取中,还没公布。
一、由湖南省专项计划录取分大概估计各高校在湖南的分数线。湖南省一批录取分数还没公布,但专项计划分数已公布。文科清华654、北大652,复旦大学649,中国人民大学645等。再后面就是上海财经、浙江大学、南京大学等。
以下是文科

而理科方面,清华669、北大665,复旦大学657,北大医学部655,中国科学院大学652等。各大学的录取分数跟往年顺序基本差不多,变化不大。下面是理科各大学的分数。

二、我们也可参考一下2018年生源质量表,也基本反映了各高校的录取分数。基本上是清华、北大高高在上,然后是复旦大学、上海交大紧随其后,中国科学院大学、中国人民大学、中科大、浙江大学、南京大学。之后就是上海财经大学、北航、同济大学、南开大学等,这个格局好多年没什么变化。

三、各大学在不同省份的吸引力不同,因此录取线会有较大差异。比如中山大学,对广东、广西、湖南、江西等省区的吸引力很大,毕竟这里离得不远,同时又有比较了的就业环境,因此在这些省份的录取分比较高。而中山大学对东北、西北的学生吸引力会差一些,毕竟距离太远,气候变化太大。同样的道理,南方人对报考哈工大本部也会没那么积极,这也是为什么哈工大深圳校区录取分超过校本部的重要原因吧。

2019年各省的一批录取分数还没完全公布,但基本上跟过去几年的变化不大,还应该是这样一个格局,也许个别院校有一点变化。这是 我的判断,你们觉得2019年各高校的录取 分数线会有大的变动吗?欢迎大家留言评论。
菜鸟来谈谈吧,欢迎大家关注菜鸟!*^O^*
题主的这个问题问的有点专业,而且就菜鸟自己了解到的信息来看,确实是有这么一个排行班。当然,至于其权威性菜鸟不能保证,因为现在高考的录取情况正在进行,只能以这几年的高考录取分数进行对比,从而得出一个稍微有效的结论。

大家也看到这个排名情况了,这是2019年最新整理的按照高考录取分数进行的一个排名,从这个排名当中可以看到,整理这个表格的人是以近十年的各高校的录取分数进行的一个综合的排名情况,从这个排名当中的确可以看到一些有效的信息。比如大家一致认为比较强的高校,清华北大当之无愧的成为录取分数最高的高校,这个是毋庸置疑的。清华大学和北京大学每年都几乎包揽了各省市的高考状元的名额,所以这个分数高,也是无可厚非的。还有一点大家可能也看到了,录取分数高的一些大学,要么是老牌的985高校,要么是专业非常热门的211工程院校。这其实也能说明,好学校在高考录取的时候,其优势很明显。

大家再看看这个排行榜,这些高校大家可能都是耳熟能详的一些高校,这些高校也时常出现在大家的视野当中。那当然也说明这些高校也是非常好的。从这个榜单当中菜鸟看到了一些985高校,还有部分211工程院校。更多的热门专业的、热门双非院校也出现在这个榜单上面了,这个大家可以看看。


以上的226所高校是菜鸟整理的按照高考录取分数进行排名呢一些高校。能到这个榜单上面的都是一些比较有名气的高校,也是大家都比较喜欢报考的一些高校,这个大家可以看看。希望大家通过这个分布的情况,对大学的了解能够多一些。当然,菜鸟给出的这个榜单只是给大家一点参考的意见,有不妥之处,敬请谅解!

大家好,我是临沂袁老师
根据各省本科第一批录取的文理科分数以及人数的指标数据,得出了2019年录取分数,大学排行榜。
排名直接反映的是高校录取分数的高低,并不是完全反映高校综合实力的强弱。并且在排名过程中发现,大学录取分数的高低与学校类别强烈关联。
受社会与考生追捧高校中。财经、语言和综合类院校位居前三位,而农业、林业和师范类院校则受冷落。
此外还发现大学录取分数的高低与学校所在地高度关联,地处直辖市与沿海地区的院校更受社会及考生的追捧。上海、浙江、天津与江苏的高校分列前五位,青海、贵州、江西、新疆与海南的高校分列后五位。
清华、北大、中科院占据了前三位


我是临沂袁老师,专注于高考志愿填报,喜欢记得关注我。
这个选题很好,让大家有更多的了解和比较!
招生单元是指某省(市、自治区)某年文(理)科各大学招生的分数集。
文科指数是指以多个文科招生单元为单位计算出来的值的加权平均数。
理科指数是指以多个理科招生单元为单位计算出来的值的加权平均数。
总指数是文科指数与理科指数的加权平均数。
排名过程中的主要发现及提醒
1.大学录取分数的高低与学校类别强烈关联。
在所有类别的院校中,财经、语言和政法类院校更受社会与考生的追捧。
①财经、语言和政法类院校分列受社会与考生追捧的前3位。
②农业、林业和师范类院校受冷落。
2.大学录取分数的高低与学校所在地高度关联。
地处直辖市与沿海地区的院校更受社会及考生的追捧。
①上海、北京、天津、江苏与浙江的高校分列前5位。
②青海、贵州、河南、江西与宁夏的高校分列后5位。
提醒读者



