空气净化器真的有用吗?还是只是“安慰机”?
的有关信息介绍如下:编者按:雾霾来袭,较真将推出空气净化器系列策划,从空气净化器的原理、怎么选、怎么用、靠谱数据从哪里找,又有哪些消费误区等维度,帮您厘清空气净化器的方方面,从此不花冤枉钱,就能得到最好的防护效果。
较真鉴定
1.针对不同的污染物,空气净化器的基本原理就是不断地使室内空气循环,并采用某种手段将空气中的污染物吸附在滤网上,再将过滤后的空气排出,循环往复,以达到抵御污染源、净化室内空气的目的。
2.衡量一台空气净化器究竟有多强的净化能力,不能简单地看滤网或者活性炭有多强大,而要综合整机的性能来看。这个整机性能就是CADR(洁净空气输出比)。
3.简单理解CADR,可以把一台净化器抽象成一个悬浮在空中的洞,这个洞吸入等量的包含污染物的室内空气,吹出和CADR值相等的绝对洁净不含杂质的空气。
4.身处一个开启了足够CADR空气净化器的室内环境,就相当于佩戴了防护效果不低于90%的新国标A级口罩(以下简称“A级口罩”)。而身处不使用空气净化器的室内,则相当于带了一个基本没有防护作用的普通口罩。只是选用时一定要注意使用面积和CADR值的匹配。
5.建议一个房间配一台空气净化器。如果一台净化器同时用于多个房间,即便CADR与实际适用面积符合,效果也会打折扣。
查证者:杨羿 | 空气净化器研发人士
从2008年左右,雾霾走入人们的视野,到2012年空气净化器开始成为一个话题,再到后来一夜之间出现了众多的品牌,最终到2015以来的大洗牌,空气净化器经过几年的发展,从一种舒适性消费逐步转化为一种需求性消费。
然而数据表明,目前使用空气净化器的仍然是少数人,仍然有很多人选择不使用,甚至对于空气净化器有很多误解,因此这里需要解答的一个问题就是,空气净化器到底有用吗?
目前购买空气净化器的主流需求有两个,第一是最为普遍的防雾霾,第二是新装修的家庭里防以甲醛为代表的诸多气态有机物(VOC)。当然空气净化器所能解决的问题并不仅仅这两个,然而这两个需求确实是国内市场中空气净化器最为主流的需求,这里就以这两种典型需求为例,来说明一下为什么空气净化器对于维护室内空气质量是一个有效的解决方案。
首先是防雾霾。网上关于空气净化器的评测五花八门,但是仍然绕不开一个问题,就是对于那些没有购买空气净化器的人群来说,仍然很难向他们说明,为什么空气净化器可以在他们的家中,创造出一个可以抵抗雾霾的避风港。
更难说明的是为什么用空气净化器不是慢慢过滤一次就可以,而需要不断地循环室内空气。还有一个难以扭转的思维定式,就是我们需要“新鲜”的空气,事实上我们需要的是洁净的二氧化碳不超标的空气。
空气净化器的原理是什么?
为了说明空气净化器有效,首先要解答的问题就是空气净化器究竟能否去除空气中固态或者气态的污染物。这就要从净化器的工作原理入手来说明了。
针对细颗粒物,空气净化器需要做到的是通过某些方式来让细颗粒物停留在滤网上。而截停颗粒物的方式有很多,总结起来不外乎两种方式:颗粒物自己撞上了,或者滤网通过某种力把颗粒物吸附住了。
前一种方式自然对大一些的颗粒物更有效,后一种则对小一些的颗粒物更有效。而两种方式结合起来很难过滤掉的,就是那些不大不小的颗粒物——即标定滤网效率所用的标准细颗粒物(空气动力学直径为0.3微米的颗粒物)。
使用耗材滤网的净化器同时应用这两种过滤原理;而对于无耗材的高压静电滤网来说,则以吸附为主,只应用其中一种方式。
对于气态污染物,目前可行的办法基本只有活性炭。可能的改良方式就是在活性炭吸附的基础上添加催化剂,让吸附到的甲醛等气态有机物可以被分解一部分,从而提高滤网的累积净化量。
总之,针对不同的污染物,空气净化器的基本原理就是不断地使室内空气循环,并采用某种手段将空气中的污染物吸附在滤网上,再将过滤后的空气排出,循环往复,以达到抵御污染源、净化室内空气的目的。
如何理解空气净化器的关键指标CADR?
然而,将滤网或者活性炭单独摆在那里是没有用的。为了让这些过滤方式发挥作用,还需要让室内空气不断地通过滤网或者活性炭。这就意味着为了衡量一台净化器究竟有多强的净化能力,不能简单地看滤网或者活性炭有多强大,而要综合整机的性能来看。
这个整机的性能就是CADR。CADR的全称是洁净空气输出率,这是怎样一个概念呢?
简单的理解,可以把一台净化器抽象成一个悬浮在空中的洞,这个洞吸入等量的包含污染物的室内空气,吹出和CADR值相等的绝对洁净不含杂质的空气。如下图中,中间的方框从下面吸入污染的空气,向上面吹出洁净的空气。

在实际检测当中,CADR的测定也是在一个标准的检测环境中,持续开启净化器,并连续记录测试舱内的污染物浓度,并用这个曲线去拟合这个理想模型的数值,从而推知这台净化器对应的CADR值。因此CADR值是比单次效率或者风量更加直接有效的衡量方式。
即使空气净化器的原理有效,如何说明它真能改善室内空气质量?
有了一个具有某个CADR值的空气净化器,我怎么能知道这台净化器会让我家里的空气变好呢?
这个可以算数,数字是不会骗人的。
新国标里面给出了一个简化的室内颗粒污染物浓度动态平衡模型,图示如下:

橙色的两个箭头代表的是颗粒物进入室内空气的两个途径,蓝色的三个箭头代表的是颗粒物离开室内空气的三个途径。
这里需要再次强调一下CADR的物理意义。CADR可以有正反两方面的理解:
1.从正面,提供洁净空气的角度来说,具有某CADR值的空气净化器,等价于一个提供等量的绝对洁净空气,用来稀释室内污染物的进风口。
2.从反面,清除室内污染物的角度来说,具有某CADR值的空气净化器,等价于一个吸收等量空气中所有污染物的吸尘口。下面的计算用到的是CADR第二种物理意义。
识别了这些途径之后,就可以得知,对于任意时刻,室内空气颗粒物浓度的变化速率,就是这五个途径加加减减形成的动态平衡。如果污染的速度快一些,浓度便升高,如果净化的速度快一些,浓度便降低。
也就是说,污染的速率减去净化的速率,就是这个时刻室内空气颗粒物浓度的变化速率,如果是正值,就说明室内空气颗粒物浓度在上升,室内空气质量在变差,反之则说明室内空气质量在变好。
对于一个固定房间来说,如果外界条件不再变化,那么房间中将形成一个动态平衡,就是净化速度与污染速度持平,单位时间内进入系统的颗粒物和排出系统的颗粒物等量,此时室内空气质量不再变化,即变化速率为零,也就是以上五个途径中,两个污染途径的速率之和与三个净化途径的速率之和相等。
由于重度雾霾的情况下,室内颗粒物的主要来源为外界渗入,而示意图中标记为4号的室内污染源因房间而异,较难量化,不方便进行理论计算,因此在这里直接忽略不计,所以前面描述的动态平衡变成颗粒物渗入的速率,与沉降,净化器净化,自然排出三个净化途径的速率之和相等。
颗粒物渗入室内的速率,与室外颗粒物浓度,室内换气率,以及颗粒物穿透各种缝隙进入房间的穿透系数相关,为三者乘积,沉降速率则与室内颗粒物浓度以及自然沉降系数有关。
净化器净化速率则是CADR值一项,而自然排出则是渗入的反过程,此处穿透各种缝隙的穿透系数没有影响,因为只要排出去,不管是排到室外环境,还是吸附在各种缝隙上,都离开了室内空气系统,因此是室内颗粒物浓度与换气系数的乘积。
这个动态平衡则可以用一个等式表达,然而这个等式乍一看也还是没有什么意义,经过变形可以得到一个比较有趣的等式:

等式左边是室内外颗粒物浓度的比值,也可以理解为配备了空气净化器的房间可以把颗粒物浓度降低到室外浓度的比例,最终是一个百分比,1减去这个比例,就是这个房间的防护系数。
比如说室外颗粒物浓度是100微克/立方米,室内经过净化器持续净化的浓度达到了10微克/立方米,那么这个比例就是10%,此时这个房间的防护系数就是1-10%=90%,等价于一个90%防护系数的口罩。
等式右边的分子为颗粒物穿透系数*室内换气次数,分母则是三个清除颗粒物的途径所对应的系数:自然沉降系数,换气系数,和CADR占室内空间的百分比,可以理解为清洁系数。
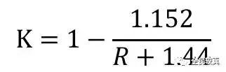
对于穿透系数,自然沉降系数,换气系数,国标中都有相关的估值,将这些数值带入之后,等式变为:

另外,其中室内空间V可以由使用面积乘以层高得来,层高按照2.4米估算,同时令CADR与使用面积的比值为R,令室内防护系数为K,带入所有数据得到:

用这个等式画出来一条曲线图的话,就可以更直观地看出清洁系数(CADR/面积)和防护系数(室内环境相较室外环境,清除颗粒物浓度的百分比)两者之间的关系。清洁系数越大,防护系数越高。

通过前面的数学计算,得出了一个结论,清洁系数越高,室内环境的防护系数越高。
而当室内没有空气净化器的时候,防护系数为40%,意味着此时室内空气中颗粒物浓度为室外浓度的60%。然而这个数字不太符合实际情况,一般来说室外有雾霾的时候,室内如果没有空气净化器参与,很难做到浓度只为室外的60%。
分析原因可能在于自然沉降率的高估,因为室内有人员活动以及一些气流,加之渗入室内的多以难以沉降的细颗粒物为主,因此在实际情况中,自然沉降几乎可以忽略不计。经过修正的公式,变成:

绘制相应曲线如下图:

此时可以看到不使用空气净化器的房间,只有20%的防护系数,这与一般的经验比较符合,基本可以认为是一个比较符合实际的模型。
图中的红线是90%防护系数的位置,类似于口罩的防护等级达到A级,这条线可以当做室内防护系数的合格线,这就意味着即便在室外爆表的情况下,室内空气也可以基本维持优到良的水平。

这是在上海轻度污染时实测的防护系数对比。由于AQI这个参数不是线性的,在50以下的部分会比颗粒物浓度偏大一些,所以这个结果基本上就是做到了90%的防护系数。
这个防护系数对应的清洁系数在10左右,这也是为什么在选购空气净化器的时候,应该按照使用面积乘以10来计算所需的CADR(注:建议一个房间配一台空气净化器。如果一台净化器同时用于多个房间,即便CADR与实际适用面积符合,效果也会打折扣)。超过这点之后,清洁系数的增长带来的防护系数增长就非常缓慢了,没有太大意义。
所以说,身处一个开启了足够CADR空气净化器的室内环境,就相当于佩戴了A级口罩。而身处不使用空气净化器的室内,则相当于带了一个基本没有防护作用的普通口罩。
经过前面的理论推算,就可以得出一个比较确切的结论,空气净化器在雾霾天确实能改善室内空气质量,只是选用时一定要注意使用面积和CADR值的匹配。这点我会在接下来的文章里详细谈到。
对于室内气态有机物污染来说,其实道理是类似的,只不过输入输出途径不同。增加的途径只有一个,就是装修材料,家具材料的释放,清除的途径则有两个,一个是空气净化器的清除作用,另一个是向室外扩散的过程。最终计算完成的曲线也应该与前面的曲线类似。
然而甲醛释放量和很多因素有关,比如说温湿度,选用材料是否符合较高的环保标准,家具和装修材料是否有表面破损等等,很难做统一的估算,所以在这里就不展开了。只需要记得一个结论,使用空气净化器会极大地提升防护系数,不过提升到一定程度之后提升效果就没那么明显了。
值得注意的是,这个公式中还有一个重要参数——换气率。这个参数对应的是房间的密封性,密封性越好的房间,外界空气渗入就越难,也就越容易取得较好的防护系数。因此当防护系数没办法提高时,需要考虑是不是可以改善一下房间的密封性,这也是提高室内整体防护效果非常有效的一个手段。
所以说,应对雾霾,在家靠空净,出门靠口罩。这句话不仅仅是说起来工整,也确实是有其实际意义的,室内开启足够CADR的空气净化器,相当于你在房间里就能得到防霾口罩级别的保护,却不需要忍受口罩带来的种种不适,是健康性和舒适性的有机结合。至于如何选择一款适合自己的空气净化器,那就是另外的话题了,我们会在下一篇里详细谈到。
责编:王月兵 丁阳
“吹出和CADR值相等的绝对洁净不含杂质的空气”并不是指经过空气净化器处理的空气是“绝对洁净”的,这只是衡量效果的数字。因为CADR值不是测试净化器能吹出多少风,而是净化器起到的作用和多大的绝对洁净出风口等价
根据新国标GB/T32610-2016,在人头模型实际佩戴的情况下,A级口罩可以将氯化钠颗粒和石蜡油等油性颗粒物的浓度至少降低90%,是国标中防护效果级别最高的口罩。注意,人头模型区别于工业用口罩针对滤材等级的评级,模拟了实际使用中无法绝对贴合脸型的实际情况,测量出符合实际使用场景的防护效果。

题图来源:123RF.com.cn图库




