2021湖北高考分数线一分一段
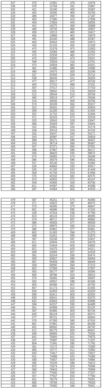
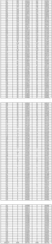
的有关信息介绍如下:2021湖北高考分数线一分一段历史科目组合如图所示
649分~548分

537分~422分

421分到248分

247分~100分以下

下面我们重点来介绍一所在湖北很知名、值得考生报考的大学。
武汉大学

说起武汉大学,很多人对于武汉大学的第一印象都是“网红”大学,因为学校的校花、樱花、教授实在是太出名了。但是除了上述提到的这些热词,学校的测绘科学与技术、地球物理学、马克思主义理论、图书情报与档案管理等专业也非常厉害,并且在2017年的第四轮学科评估中均获得了A+的好成绩。除此之外,武汉大学的师资力量也非常强,在今年的全国普通高校教师教学竞赛中,武汉大学再创辉煌,以100分的成绩蝉联第一。
除了学科建设优秀,武汉大学还是中国著名的风景游览地,也是国家5A级旅游景区东湖风景区的组成部分。学校坐落在珞珈山上,环绕着东湖水,学校占地面积5195亩,建筑面积266万平方米。武汉大学作为中国建立最早的国立大学,校园建设融合了中西文化,大气磅礴,是近现代中国大学校园建筑的佳作与典范,被称为中国最美丽的大学校园。



